Доска объявлений
Клубы
Фитнес-клубы
Пищевые добавки
Тесты!
Витамины
Микроэлементы
Клубы
Каталог организаций:
Салоны красоты
Фитнес-клубы
Справочники:
Калорийность продуктов
Пищевые добавки
Тесты!
Витамины
Микроэлементы






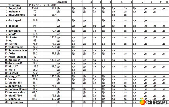
Вес 21.06.2015 стал 79,6 кг